§实根的近似计算

 

       f(x)为已知连续函数,ξ是方程

f(x)=0

的根,这里方程可以是一般方程(代数方程或超越方程).在实际问题中都给出了根的范围,例如代数方程

f(x)=a0xn+a1xn1+L+an1x+an=0

的根ξ的范围是

|ξ|£1+max{|a1|,|a2|,L,|an|}

因此可以假定方程在区间(a,b)内只有一个根(若有两个根,则将区间的一个端点换为使(x)=0的点).并由函数的连续性可知,一般来说,在根的附近f(x)是异号的(当(ξ)=0除外),所以在下面介绍的各种近似计算中,都假定f(a)f(b)异号.

 

一、秦九韶法*

 

秦九韶法基本上是通过逐次试验求根的近似值的方法,试验次数愈多,所得近似值愈接近根的真值.系统地继续这一过程,直至达到预定的有效数字的位数.现举例具体说明这个方法.

   求方程

                     f(x)=                              (1)

的根到五位有效数字.

应用笛卡尔符号法则可知这个方程有一个正根.由于f(1)=-11f(2)14,这个正根在(1,2)之间.

现在应用秦九韶法求这个方程的近似根.先设,这里表示1到所求根的距离.应用多项式的泰勒公式(秦九韶法,§2,),得到关于的方程

                                                (2)

其算式为

 

                    

   现在求纯小数的近似值,由于纯小数的三次方或二次方的值更小,可暂舍去方程(2)的头两项而来计算21110,即0.5238….但舍去的两项是正的,这个值显得太大.0.500时,方程(2)的左边各项的和是仍是正数(0.375),而当0.400时,方程(2) 的左边各项的和是负数(2.056).因此,设,,再应用多项式的泰勒公式,得到关于h的方程

                                               (3)

其算式为

 


* 我国古代数学家秦九韶在他所著的<<数书九章>>(1247),给出一个求代数方程的根近似值

  的方法,这个方法一般书上都称为和纳法.实际上和纳在1819年才提出这个方法,比秦九

  韶晚五百多年.

 

                    

现在求小数h的近似值,舍去头两项,求得h0.08609….因舍去两个正量,所得的h太大,所以设h0.08,.应用上述方法得到关于的方程

                                        (4)

同上面一样,从方程(4)的后两项求得,得到关于的方程

                                  (5)

从后两项求出的近似值=0.0008…,因舍去的都是正量,所以方程(5)的根在0.00080.00081之间.

现在把(2),(3),(4),(5),的各个近似值0.4,0.08,0.004,0.0008相加得总和0.4848,然后加到第一次近似值1上,所以方程(1)的根在1.48481.48481之间,取五位有效数字为1.4848.

用秦九韶法还能求负的近似值.想求f(x)0的一切负实根,可先求 f(x)的正实根,然后改变符号,即得负实根.

 

二、二分法

 

假定f(x)[a,b]上连续,且f(a)f(b)<0(这里假定f(a)<0,f(b)>0,取区间[a,b]的中点,若=0,则f(x)=0的根是ξ=.不然,若>0,则令a1=a,b1=;若<0,则令a1=,b1=b.于是形成新区间[a1,b1],它包含f(x)=0的根ξ(图3.2.

再取[a1,b1]的中点,若=0,则ξ=.>0,则令a2=a1,b2=;若<0,则令a2=,b2=b1.于是又形成新区间[a2,b2],其长度等于,它包含方程f(x)=0的根ξ.…若允许误差ε=,则按这个过程作出区间[a1,b1], [a2,b2], [a3,b3],L, [an,bn],n=[x]表示x的整数部分),于是

ξ*=

是方程f(x)=0的近似根,误差不超过

|ξ-ξ*|££

       二分法是求实根的近似计算中行之有效的最简单的方法,它只要求函数是连续的,因此它的使用范围很广,并便于在电子计算机上实现.但是它不能求重根,也不能求虚根.

 

三、迭代法

 

把方程f(x)=0表成它的等价形式

x=j(x)

或一般地

f1(x)=f2(x)

式中f1(x)是这样一个函数:对任意实数c,能容易算出方程f1(x)=c的精确度很高的实根.如果对任意a£x1£b,a£x2£b,下式成立:

则下面迭代过程是收敛的.

       首先从一个近似根x0出发(x0可由图解法粗略估计出),代入方程右边,解方程

f1(x)=f2(x0)

得到第一个近似根x=x1,再解方程

f1(x)=f2(x1)

得到第二个近似根x=x2L,类似地由第n个近似根xn,解方程

f1(x)=f2(xn)

得到第n+1个近似根x=xn+1,于是得到一系列不同精确度的近似根

x0,  x1x2,L, xn,L

它收敛于方程的根ξ(图3.3.

       收敛速度(即误差消失速度)与an相当,而

a

      

代替x2可加速收敛.式中Dx1=x2x1x1的一阶差分,D2x0=Dx1Dx0x0的二阶差分.

       对于方程x=j(x),只要j(x)[a,b]上连续,且q<1,那末,它的根可由

x1=j(x0)

x2=j(x1)

LLLL

xn+1=j(xn)

来接近(图3.4.

 

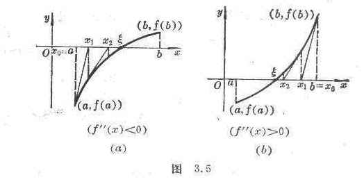
四、牛顿法

 

1.一般牛顿法

f(x)[a,b]上连续,也连续,且¹0,¹0f(a)f(b)<0(设f(a)<0,f(b)>0),过点(a,f(a))(或点(b,f(b))作曲线的切线:

(或

它和x轴的交点为x=a(或x=b

       用迭代公式

xn+1=xn

并取初始值

x0=

 

可计算出方程f(x)=0的根的近似值(图3.5.误差ïxxnï不超过

 

一般选取的初始值x0,要满足不等式

2.近似牛顿法

如果不易算出,可改用差商代替,得出近似牛顿法迭代程序:

xn+1=xn

3.逐次压缩牛顿法

求实系数代数方程

f(x)=a0xn+a1xn-1+L+an=0

的单实根时,用牛顿法求出一个实根x0后,可把多项式的次数降低一次,降低次数后的多项式系数bk

b0=a0

bk=ak+x0bk-1  (k=1,2,L,n1)

然后,再把求出的实根作为初始近似值,用同法求出再次降低次数的多项式的实根,依此求出全部单实根.

4.牛顿法解非线性方程组

假设非线性方程组

存在一组近似解P0=(x0,y0),且

可用迭代公式:

xn+1=xn+

yn+1=yn+

式中Pn为点(xn,yn)Jn为雅可比式JPn的值:

五、弦截法(线性插值法)

       假设f(x)[a,b]上连续,,都不变号,且f(a)f(b)<0(这里假定f(a)<0,f(b)>0.过点(a,f(a))(b,f(b))的直线是:


       ()

它和x轴的交点是x=a(或x=b.

       a)当>0时,用迭代公式

可求出方程的近似根(图3.6(a).

       b)当<0时,用迭代公式

可求出方程f(x)=0的近似根(图3.6(b).

六、联合法(牛顿法与弦截法联合使用)

假设f(x)[a,b]上连续,,都不变号,且f(a)f(b)<0(这里假定f(a)<0,f(b)>0.

a)当f(a)同号时(图3.7(a)),用迭代公式

x1=a

=b


x2=x1

=

LLLLLLL

xn=xn-1

=

可求出方程f(x)=0的近似根.

       b)当f(a)异号时(图3.7(b)),用迭代公式

x1=a

=b

x2=x1

=

LLLLLLLL

xn=xn-1

=

可求出方程f(x)=0的近似根.

       误差.

七、抛物线法(穆勒法)

求实系数n次方程

f(x)=xn+a1xn-1+L+an=0               (1)

的近似根.

       可先求出f(x)=0的一个根x=r,则

                      f(x)=(x-r)g(x)

                         =(xr)(xn1+b1xn2+L+bn1)

式中g(x)n1次多项式,然后再求出g(x)的根,依此类推,可以求出f(x)=0的全部实根来.

       首先选取x轴上三点:x0,x1,x2,通过曲线y=f(x)上的三点:(x0,f(x0)), (x1,f(x1)),(x2,f(x2))作一抛物线y=P(x)(即拉格朗日插值多项式,见第十七章,§2,三),抛物线与x轴有两个交点,取离x2较近的一点作为x3;再过三点(x1,f(x1)), (x2,f(x2)), (x3,f(x3))作一抛物线(图3.8中的虚线),它与x轴有两个交点,取离x3较近的一点作为x4L,依此法作出点xi-2, xi-1, xi,再过三点(xi-2,f(xi-2)), (xi-1,f(xi-1)), (xi,f(xi))作一抛物线与x轴有两个交点,取离xi较近的一点作为xi+1,等等.

       对于预先给定的允许误差e,当迭代过程进行到

ïxi+1-xiï<e

时,就取xi+1作为f(x)=0的一个近似根.

       由此得到的序列是收敛的.极限值,就是方程f(x)=0的根.

       迭代步骤如下:

1)根据经验对上式(1)可取

x0=1,  x1=1,      x2=0

作为初始值,于是

f(x0)=(1)n+(1)n1a1+Lan1+an

f(x1)=1+a1+L+an

f(x2)=an

或用x=0附近的近似值

f(x0)»an2an1+an

f(x1) »an2+an1+an

f(x2)=an

2)设

                                                        li=,     di=1+li=

                                                        gi=f(xi2)li2 f(xi-1)lidi +f(xi)li

                                                        hi=f(xi-2)li2 -f(xi-1)di2 +f(xi)(li+di)                         

由此根据xi-2, xi-1, xi 计算出li, di, gi, hi,并根据下列公式计算出li+1

li+1=

       hi>0,根式取正号;hi<0,根式取负号)

       f(xi-2)=f(xi-1)=f(xi)时,取li+1=1.

3)根据公式

xi+1=li+1(xixi-1)+xi

计算出xi+1

八、林士谔赵访熊法(劈因子法)

由于解二次方程是容易的,因此在求实系数代数方程

f(x)=xn+a1xn1+L+an1x+an=0

的复根时,如果找出f(x)的一个二次因子,就等于找到方程的一对复根.

       f(x)的一个近似二次因子(任意选取)为

w (x)=x2+px+q

可用下述方法使它精确化:

1)用w (x)去除f(x),得到商式Q(x)和余式R(x),即

                      f(x)= w (x)Q(x)+R(x)

=(x2+px+q)(xn2+b1xn3+L+bn3x+bn2)+(r1t+r2)

式中商式与余式的系数可用下面的递推公式算出:

bk=ak-pbk-1-qbk-2k=1,2,L,n

b-1=0,    b0=1

r1=bn-1=an-1-pbn-2-qbn-3

r2=bn+pbn-1=an-qbn-2

2)用w (x)去除xQ(x)得到余式

R[1](x)=R11xR21`

式中R11,R21,由下面的递推公式算出:

ck=bn-pck-1-qck-2k=1,2,L,n-3

c-1=0,     c0=1

R11=bn-2-pcn-3-qcn-4

R21=-qcn-3

3)用w (x)去除Q(x)得到余式

R[2](x)=R12xR22`

式中R12,R22,由下面的公式算出:

R12=bn-3-pcn-4-qcn-5

R21=bn-2-qcn-4

4)解二元一次线性方程组

得到u,.

5)修正后的二次式为

w [1](x)=x2+(p+u)x+(q+)

如果它还不够精确,再重复(1)至(5)的步骤进行修正,直到足够精确为止.

       林士谔赵访熊法求实系数代数方程的复根,其优点是避免了复数运算,缺点是程序比较复杂.

九、下降法

对任意实系数超越方程组

         (1)

定义目标函数

F(x1,x2,L,xn)=

如果F(x1,x2,L,xn)<ee为在一定精确度下给定的适当小的正数),则认为x1,x2,L,xn为方程组(1)的解.

       具体计算步骤如下:

1)任取一组初始值x1(0),x2(0),L,xn(0)(全不为零),设已按照下述过程计算到第m步得到一组值:x1(m),x2(m),L,xn(m)

2)计算

Fm=F(x1(m),x2(m),L,xn(m))

3)若Fm<e,则x1(m),x2(m),L,xn(m)是所求的解,否则计算n个偏导数:

[F(x1(m),x2(m),L,xi(m)+Hi,L, xn(m))-Fx1(m),x2(m),L,xn(m)]

Hi=wxi(m)       i=1,2,L,n

4)计算

xi(m+1)= xi(m),      i=1,2,L,n

式中

得到一组{xi(m+1)},再重复(2),(3,4)的计算.