| 二、成对资料样本均数的比较 | 《医学统计学》 |
二、成对资料样本均数的比较上面介绍了已知总体均数时的显着性检验方法,但有时我们并不知道总体均数,且医学数据资料中更为常见的是成对资料,若一批某病病人治疗前有某项测定记录,治疗后再次测定以观察疗效,这样,观察n例就有n对数据,这即是成对资料(也可对动物做成病理模型进行治疗实验以收集类似的成对资料);如果有两种处理要比较,将每一份标本分成两份各接受一种处理,这样观察到的一批数据也是成对资料,医学科研中有时无法对同一批对象进行前后或对应观察,而只得将病人(或实验动物)配成对子,尽量使同对中的两者在性别、年龄或其它可能会影响处理效果的各种条件方面极为相似,然后分别给以一种不同的处理后观察反应,这样获得的许多对不可拆散的数据同样是成对资料。由于成对资料可控制个体差异使之较小,故检验效率是较高的。 关于成对资料,每对数据始终相联这是它的特点,我们可以先初步观察每对数据的差别情况,进一步算出平均相差作为样本均数,再与假设的总体均数比较看相差是否显著,下面举实例说明检验过程。 表 7.1 豚鼠注入上腺素前后每分钟灌流滴数
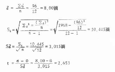
例7.2 为了验证肾上腺素有无降低呼吸道阻力的作用,以豚鼠12只,进行支气管灌流实验,在注入定量肾上腺素前后,测定每分钟灌流滴数,结果见表7.1,问用药后灌流速度有无显著增加? (1)假设用药前后灌流滴数相同,则相差的总体均数μ为0;即H0:μ=μ0;H1:μ≠μ0。 (2)令显著性水准α=0.05,由本例ν=12-1=11查得临界值t0.05,11=2.201。 (3)求样本统计量平均相差数d、差数的标准差Sd、标准误Sd及检验统计量t值。
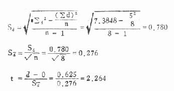
(4)下结论。今∣t∣t0.05,11,p <0.05,故认为检验假设μ=μ0难以接受,在α=0.05水准外拒绝HO而接受H1,相差显著,注入肾上腺素后每分钟灌流滴数比注射前要多。 例7.3 从以往资料发现,慢性支气管炎病人血中胆碱酯酶活性常常偏高。某校药理教研室将同性别同年龄的病人与健康人配成8对,测量该值加以比较,资料如下。问可否通过这一资料得出较为明确的结论? 表7.2 慢性气管炎病人与健康人血液胆碱酯酶活性测定(μM/ml)
(1)检验假设H0:μ=μ0;H1:μ>μ0 (2)令α=0.05,得t0.05,7=1.895(单侧) (3)用差数求统计量
(4)结论∣t∣=2.264>t0.05,7=1.895,P<0.05,在α=0.05水准处拒绝H0,接受备择假设,认为慢性气管炎病人血中胆碱酯酶高于正常人。 上例用了单侧检验是因为事先并不认为该类病人血中胆碱酯含量会出现低于健康人的情况。
| |||||||||||||||||||||||||||||||||||||||||||||||||||||||||||||||||||||||||||||||||||||||||||||||||||